书记、院长信箱
|
设为首页
|
加入收藏
|
手机版
欢迎访问体育管理学院
首页
学院概况
学院介绍
领导班子
党群工作
专业建设
师资队伍
教学团队
教师信息
名师导航
学生工作
招生就业
招生简章
就业专栏
产教融合
社会服务
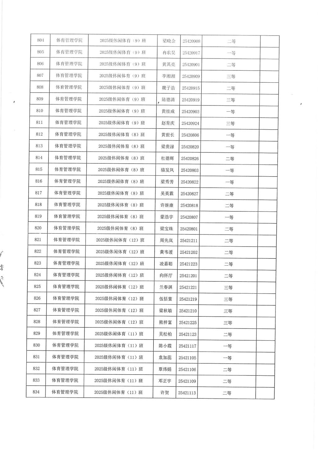
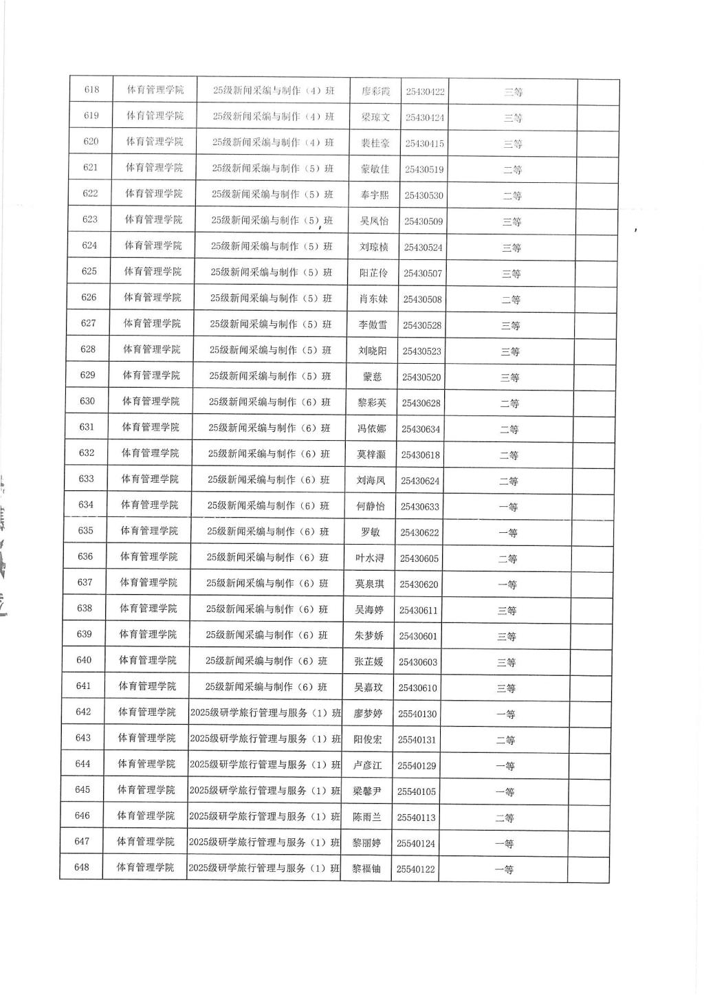
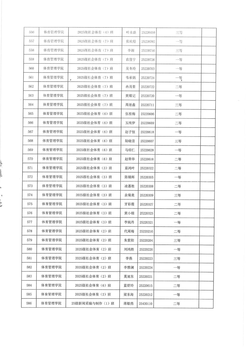
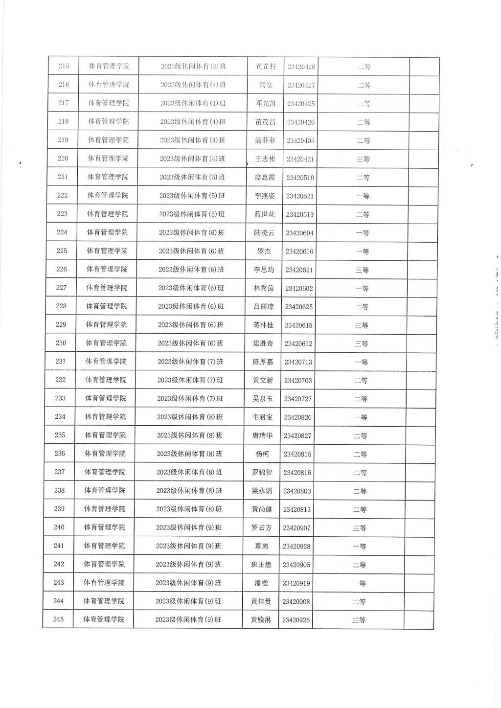
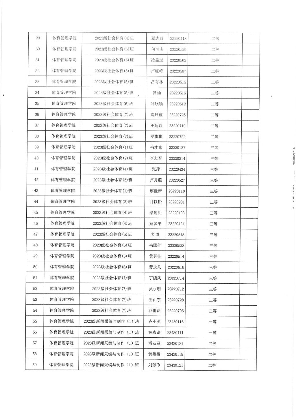
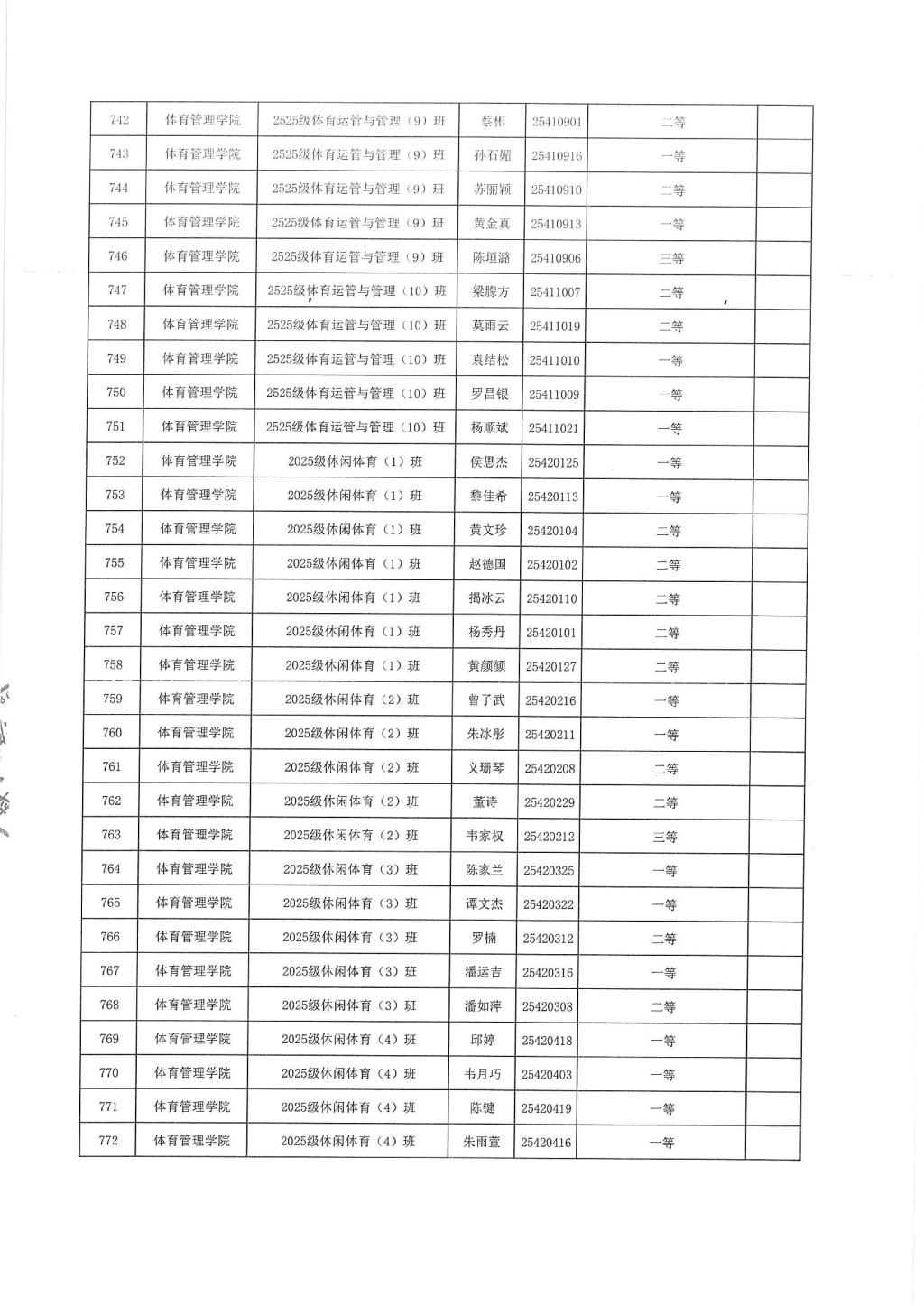
体育管理学院2024-2025学年国家励志奖学金、2025-2026学年自治区人民政府奖学金、国家助学金、退役士兵国家助学金推荐名单公示
发布日期:2025年10月23日 17:58
作者:
信息来源:
审核:吴晓俏 杨扬 黎智达